English
全部
搜索
图片
视频
短视频
地图
资讯
更多
购物
航班
旅游
笔记本
报告不当内容
请选择下列任一选项。
无关
低俗内容
成人
儿童性侵犯
时长
全部
短(小于 5 分钟)
中(5-20 分钟)
长(大于 20 分钟)
日期
全部
过去 24 小时
过去一周
过去一个月
去年
清晰度
全部
低于 360p
360p 或更高
480p 或更高
720p 或更高
1080p 或更高
源
全部
Dailymotion
Vimeo
Metacafe
Hulu
VEVO
Myspace
MTV
CBS
Fox
CNN
MSN
价格
全部
免费
付费
清除筛选条件
安全搜索:
中等
严格
中等(默认)
关闭
筛选器
numerade.com
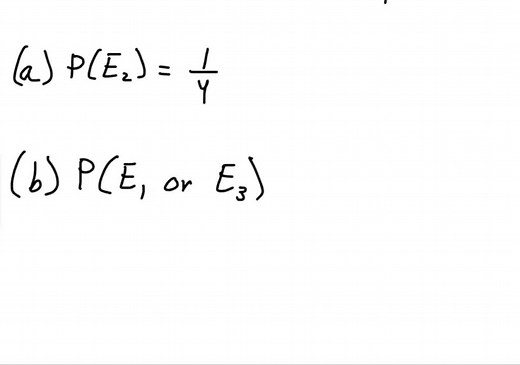
An experiment has four equally likely outcomes: E1, E2, E3, and E4 a. What is the probability that E2 occurs? b. What is the probability that any two of the outcomes occur (e.g., E1
An experiment has four equally likely outcomes: E1, E2, E3, and E4 a ...
2023年8月27日
Probabilité Cours 3ème
Probabilité 10 : calcul probabilité( notion de base 3 ) #s2lafac #adnantaalim
YouTube
عدنان تعليم -الشامل- Adnan Taalim
已浏览 5.6万 次
2020年5月9日
Exercice sur le calcul de probabilités | Brevet de mathématiques
YouTube
digiSchool Collège
已浏览 5518 次
2020年3月17日
14:47
THE COURSE: Probabilities - Fourth
YouTube
Yvan Monka
已浏览 17.3万 次
2020年10月24日
热门视频
Exercices corrigés de probabilité en 4ème année secondaire
TikTok
mariem.maths
已浏览 4.5万 次
2024年3月13日
Statistics: Ch 4 Probability in Statistics (35 of 74) General and Special Rules of Addition
YouTube
Michel van Biezen
已浏览 1457 次
2020年2月20日
Probability Tables and Tree Diagrams
YouTube
Schofield Maths
已浏览 152 次
2020年6月5日
Probabilité Exercices 3ème
Chapter 3 Exercise 3.49 and 3.50
YouTube
Tayyab Tech
已浏览 461 次
2020年8月14日
Exercice corrigé de probabilité et de statistique.variables aléatoire continue ou à densité.
YouTube
Job Kamdem
已浏览 1.4万 次
2022年6月17日
24:14
THE COURSE: Probabilities - Second
YouTube
Yvan Monka
已浏览 77.7万 次
2020年11月23日
Exercices corrigés de probabilité en 4ème année secondaire
已浏览 4.5万 次
2024年3月13日
TikTok
mariem.maths
Statistics: Ch 4 Probability in Statistics (35 of 74) General and S
…
已浏览 1457 次
2020年2月20日
YouTube
Michel van Biezen
Probability Tables and Tree Diagrams
已浏览 152 次
2020年6月5日
YouTube
Schofield Maths
Statistics: Ch 4 Probability and Statistics (64 of 74) Bayes' Rule: E
…
已浏览 887 次
2020年5月26日
YouTube
Michel van Biezen
1:39:39
PROBABILITÉS
已浏览 158.6万 次
2018年10月7日
YouTube
Saïd Chermak
14:47
THE COURSE: Probabilities - Fourth
已浏览 17.3万 次
2020年10月24日
YouTube
Yvan Monka
24:14
THE COURSE: Probabilities - Second
已浏览 77.7万 次
2020年11月23日
YouTube
Yvan Monka
15:26
LE COURS : Statistiques - Quatrième
已浏览 27.3万 次
2020年10月21日
YouTube
Yvan Monka
12:03
LE COURS : Probabilités - Troisième
已浏览 84.2万 次
2020年11月23日
YouTube
Yvan Monka
27:20
THE COURSE: Distributivity - Fourth
已浏览 38.4万 次
2020年9月27日
YouTube
Yvan Monka
9:45
Introductory Statistics - Chapter 4: Probability
已浏览 13.8万 次
2010年1月14日
YouTube
perdiscotv
9:32
Probability - The Course
已浏览 34.9万 次
2018年2月2日
YouTube
Hedacademy
6:01
Prepare your BREVET: Probabilities
已浏览 9.9万 次
2021年3月16日
YouTube
Yvan Monka
14:23
Probabilités partie 1
已浏览 13.2万 次
2019年10月17日
YouTube
TV school
14:53
Probabilités S3 Partie 14 Théorie de probabilités EP1
已浏览 1.9万 次
2024年10月10日
YouTube
Karim Economiste
9:16
Exercice 1 (*) : Probabilité
已浏览 2.5万 次
2021年3月13日
YouTube
Excellence Mathematics & Physics
25:39
LE COURS : Probabilités conditionnelles - Première/Termin
…
已浏览 247.6万 次
2017年6月5日
YouTube
Yvan Monka
40:51
Replay Cours 4ème - Probabilités
已浏览 9846 次
2020年10月18日
YouTube
Droles2Maths
29:44
Probabilités : Probabilités Conditionnelles (Partie 2 EP5)
已浏览 53.2万 次
2018年5月6日
YouTube
Ishaq Ghanem
19:56
Chapter 4 Probability Part 2
已浏览 9683 次
2017年9月15日
YouTube
J DeRosa
2:59
Experimental Probability | MathHelp.com
已浏览 22.8万 次
2016年1月24日
YouTube
MathHelp.com
21:44
Probabilités : Les Applications (Partie 1 EP01)
已浏览 150.7万 次
2018年4月13日
YouTube
Ishaq Ghanem
7:22
Alloprof - Introduction aux probabilités
已浏览 5.2万 次
2015年5月14日
YouTube
Alloprof
47:32
Probabilités : cours prépa HEC, BCPST, Maths Sup
已浏览 26.5万 次
2016年6月22日
YouTube
Optimal Sup-Spé - Groupe Ipesup
14:16
Binomial Probability Using the TI-84
已浏览 12万 次
2017年5月24日
YouTube
Math and Stats Help
10:27
Maths - Probability Trees - Key Stage 4
已浏览 18.2万 次
2008年5月21日
YouTube
conquermaths
24:21
Probabilités : Variable Aléatoire Discrète (Partie 3 EP01)
已浏览 69.7万 次
2018年5月21日
YouTube
Ishaq Ghanem
25:50
Probabilités : Calcul des probabilités (Partie 2 EP01)
已浏览 69.7万 次
2018年4月24日
YouTube
Ishaq Ghanem
7:16
Theoretical Probability Explained with Examples
已浏览 2.8万 次
2021年4月23日
YouTube
dsmithinschools
观看更多视频
更多类似内容
反馈