English
全部
搜索
图片
视频
地图
资讯
更多
购物
航班
旅游
笔记本
报告不当内容
请选择下列任一选项。
无关
低俗内容
成人
儿童性侵犯
时长
全部
短(小于 5 分钟)
中(5-20 分钟)
长(大于 20 分钟)
日期
全部
过去 24 小时
过去一周
过去一个月
去年
清晰度
全部
低于 360p
360p 或更高
480p 或更高
720p 或更高
1080p 或更高
源
全部
Dailymotion
Vimeo
Metacafe
Hulu
VEVO
Myspace
MTV
CBS
Fox
CNN
MSN
价格
全部
免费
付费
清除筛选条件
安全搜索:
中等
严格
中等(默认)
关闭
筛选器
investopedia.com
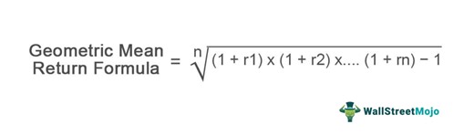
Understanding Geometric Mean: Calculation Method and Examples
Learn how to calculate the geometric mean, an essential tool for analyzing investment performance and returns, with detailed examples and explanations.
1 个月前
相关产品
Abstract Geometric Return Print
Geometric Return Necklace
Geometric Return Area Rug
#geometric
Satisfying Geometric Art | Step-by-Step Drawing Tutorial
YouTube
10 个月之前
Why Geometric Art Is So Appealing ❤️
YouTube
9 个月之前
热门视频
How to Calculate the Geometric Mean Rate of Return: A Step-by-Step Guide for Investors - Smart.DHgate – Trusted Buying Guides for Global Shoppers
dhgate.com
3 周前
Identifying Geometric Sequences and Finding the Common Ratio | Algebra
study.com
2021年6月15日
5:13
Arithmetic vs. Geometric Return | Definition & Calculation
Study.com
已浏览 2.8万 次
2017年6月6日
Geometric Mean Examples
1:25
Ace Arithmetic & Geometric Sequences
YouTube
5 Academy
已浏览 1604 次
8 个月之前
How geometric transformations are used in the real world by architects and designers
YouTube
Rise over Run Math
已浏览 6620 次
2021年11月12日
0:46
Geometric Transformations in Action | Translation, Rotation, Reflection & Dilation #maths
YouTube
Shiwam's Classes
已浏览 592 次
2024年9月19日
How to Calculate the Geometric Mean Rate of Return: A Step-by-St
…
3 周前
dhgate.com
Identifying Geometric Sequences and Finding the Common Ratio | A
…
2021年6月15日
study.com
5:13
Arithmetic vs. Geometric Return | Definition & Calculation
已浏览 2.8万 次
2017年6月6日
Study.com
5:14
Geometric Sequence | Definition, Formula & Examples - Video | Stu
…
已浏览 66 次
2014年6月17日
study.com
Compute the geometric mean of the following rates of return.\be... | Filo
7 个月之前
askfilo.com
32:13
Geometric Distribution - Probability, Mean, Variance, & Standard Deviat
…
已浏览 55.4万 次
2019年6月9日
YouTube
The Organic Chemistry Tutor
10:48
An Introduction to the Geometric Distribution
已浏览 34.6万 次
2014年1月30日
YouTube
jbstatistics
6:26
Geometric distribution mean and standard deviation | AP Statistics
…
已浏览 5.5万 次
2020年10月26日
YouTube
Khan Academy
2:47
How to Calculate the Geometric Average Return
已浏览 10.2万 次
2016年1月24日
YouTube
Edspira
14:31
Geometric Sequences
2020年1月20日
calcworkshop.com
24:04
Geometric Distribution - Derivation of Mean, Variance & Moment Gene
…
已浏览 2.9万 次
2020年2月23日
YouTube
Computation Empire
Matching Basic Geometric Terms with their Definitions | Geometry |
…
2021年4月25日
study.com
4:14
Geometric Mean: Calculating the Geometric Mean Rate of Return Ex
…
已浏览 4209 次
2018年3月29日
YouTube
Maths and Stats
5:15
Geometric Mean | Definition, Formula & Calculation
已浏览 9.7万 次
2014年3月5日
Study.com
4:18
Geometric Mean: Calculating the Geometric Mean Rate of Return Ex
…
已浏览 1.2万 次
2018年3月29日
YouTube
Maths and Stats
Geometric Mean: Calculating the Geometric Mean Rate of Return Ex
…
已浏览 4142 次
2018年3月29日
YouTube
Maths and Stats
15:45
Lesson 17: Geometric Distribution Part 1
已浏览 6.2万 次
2013年4月17日
YouTube
Stat Courses
Geometric Sequences
2018年5月5日
nagwa.com
4:48
Geometric Mean: Finding the Geometric Rate of Return
已浏览 486 次
11 个月之前
YouTube
Linda Williams
2:30
How to Calculate Geometric Mean in Simple Steps: Excel with problem
…
已浏览 312 次
2023年3月21日
YouTube
Bio-Resource
8:23
Geometric Sequence: Nth Term and Common Ratio of Geometric Sequ
…
已浏览 50.4万 次
2022年8月24日
YouTube
MATH TEACHER GON
14:41
How To Derive The Sum Formula of a Geometric Series
已浏览 27.7万 次
2021年5月23日
YouTube
The Organic Chemistry Tutor
Lesson: Geometric Sequences Mathematics • Second Year of Sec
…
2018年9月20日
nagwa.com
4:27
What Is The Geometric Probability Distribution Formula Examples Ex
…
已浏览 1.4万 次
2020年3月18日
YouTube
Whats Up Dude
13:09
Mean and Variance of Geometric distribution - BSc Statistics
已浏览 3.1万 次
2021年10月19日
YouTube
Jogi Raju
4:17
Geometric distribution moment generating function
已浏览 4.8万 次
2016年2月2日
YouTube
Lawrence Leemis
11:27
Geometric vs. Arithmetic Average Returns
已浏览 4.9万 次
2011年6月4日
YouTube
Kevin Bracker
Arithmetic vs. Geometric Mean: Key Differences in Financial Returns
2 个月之前
investopedia.com
3:52
ACCTG 455: Excel Finance Class 97: Using Geometric Mean & Arithmet
…
已浏览 9.2万 次
2010年11月20日
YouTube
excelisfun
观看更多视频
更多类似内容
反馈