Matematica Limite Funcao 的热门建议 |
- Limites
De Funcao - Integrais
PDF - Matematica
Basica - Limites Matematica
Aula - Matematica Funcao
Afim - Matematica
Inequacao - Limite Da Funcao
E Bases Para Iniciantes - Aulas Online De
Matematica - Matematica
Financeira - Exercicios De
Matematica - Aulas De Matematica
Para Criancas - Limites
De Funcoes - Matematica as Funcao
Do X E Do FNO Grafico Geometria - Matematica
Basica Curso - Como Calcular
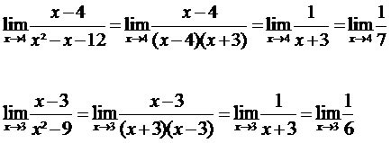
Limite - Limites
Com Indeterminacao - Contas De
Matematica - Estudo Da
Funcao - Dominio De
Funcoes - Limites
De Uma Funcao - Resolucao De
Limites - Calculo
Financeiro - Matimatica
Basica - Como Resolver Uma Funcao Quadratica
- Calculos De Limite
De Funcao PDF - Proprriedades Da Matematica
Marcos Abas - Equacao Exponencial
Como Resolver - Adica O De Numeros
Inteiros Relativos - Calculo Dos
Limites - Como Calcular
Uma Derivada
观看更多视频
更多类似内容

反馈