English
全部
搜索
图片
视频
地图
资讯
更多
购物
航班
旅游
笔记本
报告不当内容
请选择下列任一选项。
无关
低俗内容
成人
儿童性侵犯
时长
全部
短(小于 5 分钟)
中(5-20 分钟)
长(大于 20 分钟)
日期
全部
过去 24 小时
过去一周
过去一个月
去年
清晰度
全部
低于 360p
360p 或更高
480p 或更高
720p 或更高
1080p 或更高
源
全部
Dailymotion
Vimeo
Metacafe
Hulu
VEVO
Myspace
MTV
CBS
Fox
CNN
MSN
价格
全部
免费
付费
清除筛选条件
安全搜索:
中等
严格
中等(默认)
关闭
筛选器
0:30
1.4K views | Save 50% on everything during our Black Friday sale! | XL
…
已浏览 4151 次
1 周前
Facebook
XLN Audio
0:30
The Hip Hop and Gospel Collection by XLN Audio is here. | XLN Audi
…
已浏览 3066 次
1 周前
Facebook
XLN Audio
0:30
3.2K views | Don't miss out on Black Friday at XLN Audio, starting Nov
…
已浏览 1321 次
1 周前
Facebook
XLN Audio
0:30
10K views | Don't miss out on Black Friday at XLN Audio, starting Nov
…
已浏览 1932 次
1 周前
Facebook
XLN Audio
0:21
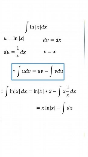
Integral por partes ln(x) dx #cálculo #maths #algebra
已浏览 1127 次
2024年5月5日
YouTube
Aula FICMA
1:00
XLN Audio on Instagram: "@_diamond_johnson_ knows. Ch
…
已浏览 3817 次
1 个月前
Instagram
xlnaudio
0:30
XLN Audio on Instagram: "50% off 👉 xlnaudio.com Music: Mi
…
已浏览 1976 次
3 周前
Instagram
xlnaudio
0:38
Medallion XLN | AI × Blockchain × XR on Instagram: "Fontine De Luz
…
已浏览 3534 次
2 周前
Instagram
medallionxln
0:11
XLNC Perfumery on Instagram: "This isn’t perfume.This is ‘don’t p
…
已浏览 727 次
1 个月前
Instagram
xlncperfumeryind
0:50
САМАЯ ЛУЧШАЯ АКУСТИКА НА ШИРОКОПОЛОСНЫХ ДИНАМИКАХ
已浏览 1546 次
1 个月前
YouTube
Александр Левчук
0:45
Gayatri Mane on Instagram: "Behta hai mann kahi 🦋 . @saranglokhande
…
已浏览 7.3万 次
1 周前
Instagram
gayatrii_28
0:55
Gayatri Mane on Instagram: "Ishqe di galiyaan ch khoya ae dil ve!💌 . 🧠 -
…
已浏览 6.2万 次
1 个月前
Instagram
gayatrii_28
0:47
90K views · 2.4K reactions | راه حنا شلوح ❤️ . . . . #tagroupit #m
…
已浏览 5.6万 次
1 周前
Facebook
Tagroupit
0:41
Exploring groove ideas over this XLN Audio Life loop, super inspiri
…
已浏览 5267 次
1 个月前
YouTube
Vlade Guigni
0:17
220K views · 4K reactions | راه حنا شلوح ❤️ . . . . #tagroupit #m
…
已浏览 10.2万 次
1 周前
Facebook
Tagroupit
1:18
Dominique Howard on Instagram: "Soul @Nativeinstruments maschi
…
已浏览 5136 次
3 周前
Instagram
bravodomo
0:53
How this impossible 🔥 😱 || #freefire
已浏览 296 次
3 周前
YouTube
XLN ¡FoN GameR
0:32
XLN Audio Hip Hop and Gospel Adpak. #drums #drummer #vdrum
…
已浏览 1439 次
1 个月前
YouTube
Rosalvo Melo
0:11
XLNC Perfumery on Instagram: "Maverick — fruity, fresh, unforget
…
已浏览 639 次
1 个月前
Instagram
xlncperfumeryind
1:19
12 reactions | 歹#tagroupit #mohskinner #music #i #a #moroc
…
已浏览 151 次
1 周前
Facebook
Page Amarg AmaZigh
观看更多视频
更多类似内容
反馈