English
全部
搜索
图片
视频
地图
资讯
更多
购物
航班
旅游
笔记本
报告不当内容
请选择下列任一选项。
无关
低俗内容
成人
儿童性侵犯
时长
全部
短(小于 5 分钟)
中(5-20 分钟)
长(大于 20 分钟)
日期
全部
过去 24 小时
过去一周
过去一个月
去年
清晰度
全部
低于 360p
360p 或更高
480p 或更高
720p 或更高
1080p 或更高
源
全部
Dailymotion
Vimeo
Metacafe
Hulu
VEVO
Myspace
MTV
CBS
Fox
CNN
MSN
价格
全部
免费
付费
清除筛选条件
安全搜索:
中等
严格
中等(默认)
关闭
筛选器
careers360.com
Kjeldahl's Method: Principle, Reaction, Formula and Limitations
Learn more about Kjeldahl's Method in detail with notes, formulas, properties, uses of Kjeldahl's Method prepared by subject matter experts. Download a free PDF for Kjeldahl's Method to clear your doubts.
2024年9月12日
Kjeldahl method Principles
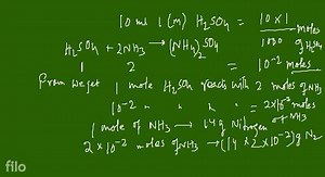
Kjeldahl method is not applicabl compounds containing nitrogen ... | Filo
askfilo.com
已浏览 5432 次
2022年7月15日
Kjeldahl method is not applicable to which compound?... | Filo
askfilo.com
已浏览 5835 次
2023年5月1日
70.Estimation of nitrogen using Kjeldahl's method is applicable... | Filo
askfilo.com
11 个月之前
热门视频
Kjeldahl Method: Procedure, Formula and Advantages - Chemistry Notes
chemistnotes.com
2020年9月21日
What is the Kjeldahl method used to determine in soil science a... | Filo
askfilo.com
5 个月之前
3:18
The Kjeldahl method is used primarily for determination of Total Kjeldahl Nitrogen (TKN) and crude protein for food and beverage analysis. The video demonstrates the four steps of the Kjeldahl workflow: ✔️ Sample preparation ✔️ Digestion ✔️ Steam distillation ✔️ Titration | The Science Explorer | Facebook
Facebook
The Science Explorer
已浏览 766 次
4 天之前
Kjeldahl method Applications
What is Keyhole Method?
speedcubereview.com
已浏览 5 次
2015年7月31日
Kjeldahl's method for detection of nitrogen in organic compound... | Filo
askfilo.com
已浏览 5065 次
2023年8月1日
In Kjeldahl's method for estimation of nitogen, (a \mathrm{SO}_... | Filo
askfilo.com
已浏览 5193 次
2024年3月28日
Kjeldahl Method: Procedure, Formula and Advantages - Chemis
…
2020年9月21日
chemistnotes.com
What is the Kjeldahl method used to determine in soil science a... | Filo
5 个月之前
askfilo.com
3:18
The Kjeldahl method is used primarily for determination of Tota
…
已浏览 766 次
4 天之前
Facebook
The Science Explorer
Kjeldahl method is applicable for the quantitative estimation o... | Filo
已浏览 5667 次
2023年1月4日
askfilo.com
Describe the Kjeldahl method for nitrogen estimation, showing t... |
…
已浏览 5218 次
3 个月之前
askfilo.com
Kjeldahl method is used for the estimation of nitrogen in:(1)... | Filo
10 个月之前
askfilo.com
Kjeldahl's method for detection of nitrogen in organic compound... |
…
已浏览 5065 次
2023年8月1日
askfilo.com
The acid used in Kjeldahl's method is:
2022年7月16日
byjus.com
Kjeldahl's method is applicable for the nitrogens as indicated
已浏览 5936 次
2023年5月28日
askfilo.com
3:35
Método Kjeldahl
已浏览 1.1万 次
2021年2月5日
YouTube
Karla Thomas
70.Estimation of nitrogen using Kjeldahl's method is applicable...
…
11 个月之前
askfilo.com
4:08
Kjeldahl Method
已浏览 1.8万 次
2019年8月13日
YouTube
buchilabequipment
Kjeldahl Method of Nitrogen Estimation Procedure and MCQ fo
…
2020年5月4日
gpatindia.com
13:03
Kjaldahl's Method - Basic Concepts of Organic Chemistry by DN Sir | J
…
已浏览 9.5万 次
2019年8月15日
YouTube
Unacademy Class 11 & 12
In Kjeldahl's method for estimation of nitogen, (a \mathrm{SO}_... | Filo
已浏览 5193 次
2024年3月28日
askfilo.com
Understanding the Kjeldahl Method for Determining Nitrogen in Lab W
…
已浏览 55.9万 次
2022年5月16日
TikTok
kismita03
Kjeldahl method is not applicabl compounds containing nitrogen ..
…
已浏览 5432 次
2022年7月15日
askfilo.com
7:19
The Kjeldahl method - automatic digestion, distillation and titration
…
已浏览 14.3万 次
2019年2月11日
YouTube
GerhardtAnalytics
2:41
TP OFPPT: La méthode KJELDAHL avec EXERCICE
已浏览 744 次
2022年2月15日
YouTube
MHI
KjelFlex K-360 – Kjeldahl analysis with broad application flexibility
已浏览 1.3万 次
2015年1月8日
YouTube
buchilabequipment
3:48
Revolutionizing Kjeldahl Nitrogen Determination with Zero Tube Mov
…
已浏览 1225 次
2023年5月29日
YouTube
buchilabequipment
3:05
Kjeltec™ 8400 – fully automated Kjeldahl analysis
已浏览 2.7万 次
2017年4月5日
YouTube
FOSS Analytical
46:39
Total Kjeldahl Nitrogen Training
已浏览 3.9万 次
2020年6月26日
YouTube
msstatechemlab
7:41
Kjeldahl Distillation Cum Digestion Apparatus Installation
已浏览 1.4万 次
2021年4月29日
YouTube
Stericox India Private Limited
7:47
Determinação de Proteinas pelo método de Kjeldahl
已浏览 3.5万 次
2014年9月24日
YouTube
Eduardo Santos Almeida
0:33
Learn protein determination using the Kjeldahl Method
已浏览 498 次
2 个月之前
YouTube
BET Research Institute
In the Kjeldahl's method for estimation of nitrogen present in ..
…
已浏览 5400 次
8 个月之前
askfilo.com
5:00
Kjeldahl Method | Crude Protein Analysis | Concept of Kjeldahl Met
…
已浏览 1.1万 次
2023年8月28日
YouTube
UEC
11:48
How to Determine Protein Content of Foods I Kjeldahl Method I Food Sc
…
已浏览 2.1万 次
2022年4月15日
YouTube
Esculenta Science
观看更多视频
更多类似内容
反馈